Mr. Wayne's Class.com

Section Homepage 

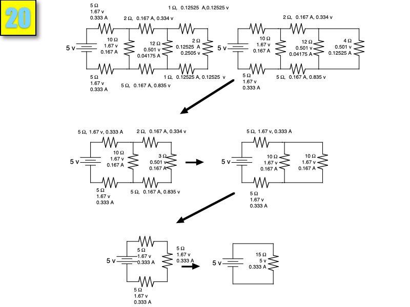
Resistor Circuit Answers -No Kirchoff.019.jpeg Resistor Circuit Answers -No Kirchoff.020.jpeg Resistor Circuit Answers -No Kirchoff.021.jpeg
Previous pageNext pageResistor Circuit Answers -No Kirchoff.020
Resistor Circuit Answers -No Kirchoff.020