Mr. Wayne's Class.com
Section Homepage
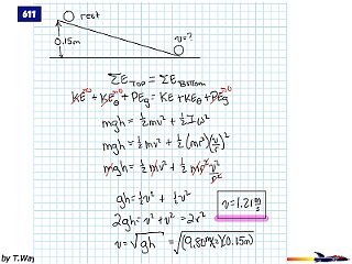
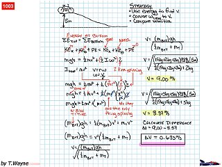
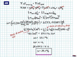
Rotational Energy and Momentum Solutions