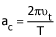
A car travels around a circular curve at some speed. Later, the same car takes the curve in half the time and exerts 2 times the centripetal acceleration. What circular motion formula would you use to find out what factor the velocity changed by?
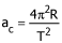
A jet takes flies in a circle at a constant velocity. Later, the same jet flies in a circle that is three times the original velocity and it's flight radius is halved. Which formula will help you to find how the new centripetal acceleration compares to the old acceleration.
A child is riding his tricycle in a circle on the road. Later, the child is traveling in a circle four times larger and it takes twice a long to circle. Which formula will help you to determine how the new tangeltial velocity compares to the old velocity ?
A car travels around a circular curve at some speed. Later, the same car takes the curve in half the time and exerts 4 times the centripetal acceleration. What factor did the velocity changed by?
The new period of motion is 2 times the orignal period of motion.
The new period of motion is 4 times the orignal period of motion.
The new period of motion is 8 times the orignal period of motion.
A jet takes flies in a circle at a constant velocity. Later, the same jet flies in a circle that is three times the original velocity and it's flight radius is halved. Which formula will help you to find how the new centripetal acceleration compares to the old acceleration.
The new centripetal accleration is 1.5 times the original centripetal acceleration.
The new centripetal accleration is 4.5 times the original centripetal acceleration.
The new centripetal accleration is 6 times the original centripetal acceleration.
The new centripetal accleration is 18 times the original centripetal acceleration.
A child is riding his tricycle in a circle on the road. Later, the child is traveling in a circle with eight times the original centripetal acceleration and in a radius that is twice as large as the original. By what factor does the new period of motion compare to the old?
The new period of motion is 1/4 the original period of motion.
The new period of motion is 1/2 the original period of motion.
The new period of motion is 16 the original period of motion.