Album's slide show
coulomb.001
coulomb.002
coulomb.003
coulomb.004
coulomb.005
coulomb.006
coulomb.007
coulomb.008
coulomb.009
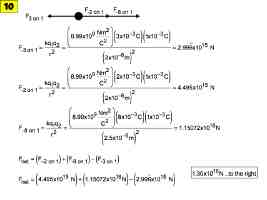
coulomb.010
coulomb.011
coulomb.012
coulomb.013
coulomb.014
coulomb.015
coulomb.016
coulomb.017
coulomb.018
coulomb.019
coulomb.020
coulomb.021
coulomb.022
coulomb.023
coulomb.024
coulomb.025
coulomb.026
coulomb.027
coulomb.028