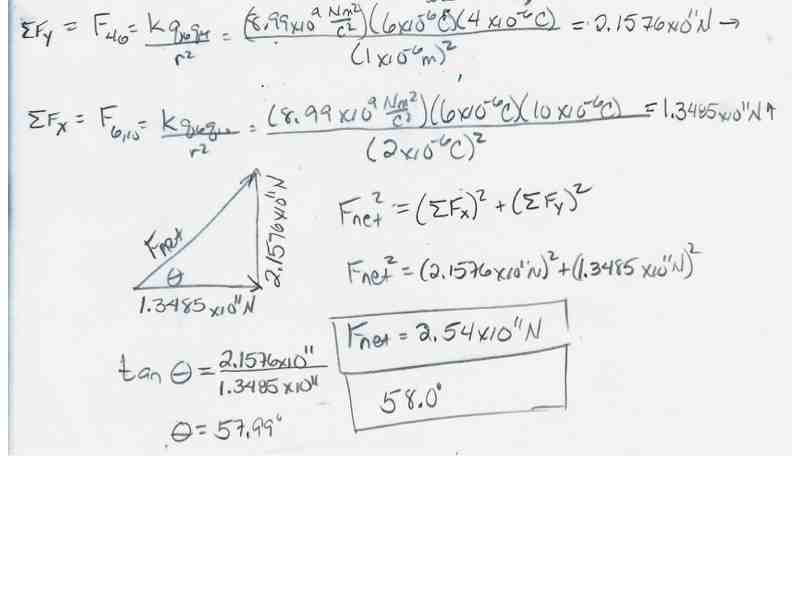
A.002.jpeg A.003.jpeg A.004.jpeg A.005.jpeg A.006.jpeg
Previous pageNext pageA.004
A.004