A.006.jpeg A.007.jpeg A.008.jpeg A.009.jpeg A.010.jpeg
Previous pageNext pageA.008
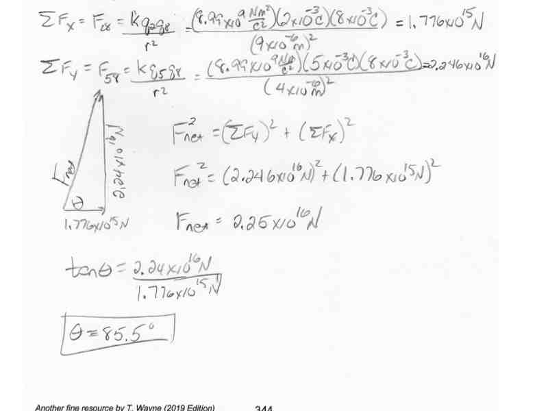
A.008