A.011.jpeg A.012.jpeg A.013.jpeg A.014.jpeg A.015.jpeg
Previous pageNext pageA.013
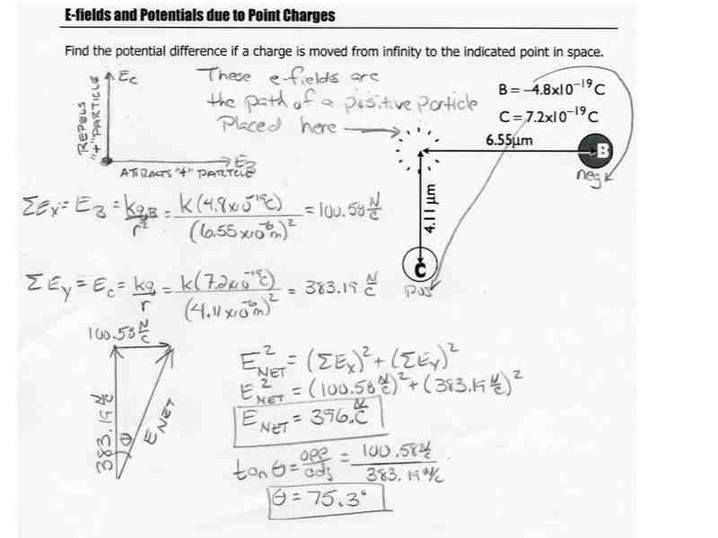
A.013