E.002.jpeg E.003.jpeg E.004.jpeg E.005.jpeg E.006.jpeg
Previous pageNext pageE.004
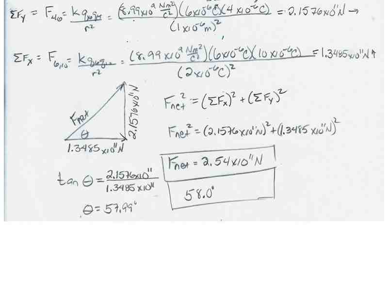
E.004