Mr. Wayne's Class.com
Section Homepage
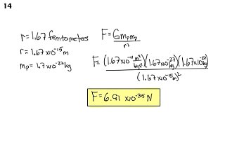
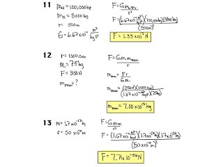
Universal Gravity Answers