PHYSICS Kinematics Objectives
and worksheet problems
Click here to see a pdf file of the objectives and worksheet,
Students will be able to:
- Describe the basic VECTOR motion concepts of;
- displacement,
- velocity
- acceleration,
- jerk.
- Identify a number as being either displacement, velocity, acceleration, jerk or time based solely on its units.
- List the values given in a word problem.
- These values will be listed and identified as either...
- initial position
- final position
- initial velocity
- final velocity
- average velocity
- acceleration
- time
- Also list the implied givens.
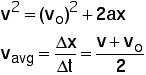
- From memory, the following formulae will need to listed
-

- (The student will only be given the left hand side of the equation.)
- List what the variables of xo, x, vo, v, vavg, a and t stand for
- Write the proper S.I. units for the variables listed in the previous objective.
- Solve word problems while demonstrating proper solution-communication techniques. This includes but is not limited to:
- List all the variables in a problem with units
- Show the formula(ae) used to solve the problem with only variables
- Show the formula(ae) used to solve the problem with only numbers
- Show any necessary math
- Show the answer with proper units
- Be able to convert between accelerations in m/s2 and gs.
For problems 1 - 9, list the givens and the variable to be found in each problem.
1. An angry mob lynches a physics teacher after receiving their grades. They throw the physics teacher off a tall building. They throw the physics teacher straight down with a velocity of 20 m/s. The teacher falls for 3.0 seconds before landing on a stack of empty card board boxes. How high was he thrown from?
2. A baseball is thrown horizontally at 45 m/s. The ball slows down at a rate of 5 m/s2. How long is the ball in the air before coming to rest?
3. A meteor falls from the sky to the Earth. The meteor already had an initial velocity downward when it was spotted. If it hit the Earth at 335 m/s after being seen for 30 seconds, then what was the initial velocity of the meteor?
4. A car started from a rest and accelerated at 9.54 m/s2 for 6.5 seconds. How much distance was covered by the car?
5. A paper airplane is thrown horizontally with a velocity of 20 mph. The plane is in the air for 7.43 s before coming to a stand still on the ground. What is the acceleration of the plane?

6. A pile driver drops from a height of 35 meters before landing on a piling. What is the speed of the driver when it hit the piling?
CHALLENGE PROBLEM (7-9)
7. An arrow leaves a bow with a speed of 42 m/s. Its velocity is reduced to 34 m/s by the time it hits its target. How much distance did the arrow travel over if it were in the air for 2.4 seconds?
8. At a drag race, a jet car travels 1/4 mile in 5.2 seconds. What is the final speed of the car and its acceleration?
9. A person taps his finger repeatedly. Their finger travels 2.5 cm before making contact with the table top. The finger tapping noise is heard once every 0.20 seconds. What is the impact speed of the finger with the table?
10. A cheetah can run from 0 to 70 mph in 2.2 seconds.
a. What is the cheetahs top speed in m/s?
b. What is the cheetahs acceleration in m/s2?
c. What is the cheetahs average speed in mph and m/s?
d. how much distance did the cheetah cover in traveling from 0 to 70 mph?
11.A ball rolls down a hill with a constant acceleration of 3.0 m/s2.
(a) If it starts from rest, what is its speed at the end of 4.0 s?
(b) How far did the ball move in that 4.0 s?
12. A car can accelerate from 0 to 60 mph in 8.5 seconds.
a. What is the cars top speed in m/s?
b. What is the acceleration of the car?
c. If the car were to maintain the acceleration in 2b, how long would it take to reach 70 mph from rest?
d. How much distance would the car travel by the time it reached 70 mph?
13. A bicyclist brakes from 21 m/s to a stop in 32.3 m.
a. What is the acceleration of the bicyclist?
b. How much time does it take for the bicyclist to stop?
c. What is the bicyclists average speed?
14. A car moving on a straight road increases its speed at a uniform rate from 10 m/s to 20 m/s in 5.0 s.
(a) What is its acceleration?
(b) How far did it go during those 5.0 s?
15. On a roller coaster ride at an amusement park, a car travels from 7.6 m/s to 56 m/s in 3.0 seconds.
a. What is the cars acceleration?
b. How much distance did the car travel in 3.0 seconds?
c. If the car continued this acceleration, how fast would it be traveling after 150 m?
16. 6.0 seconds after launch, the space shuttle is 529.2 m above the ground.
a What is the space shuttle's acceleration?
b What is the space shuttle's velocity after 3.0 seconds?
c What is the space shuttle's velocity at 6.0 seconds
d What is the space shuttle's average velocity ater the first 6.0 seconds?
e How high is the space shuttle after 3.0 seconds?
17. Melissa threw a penny straight down off the Empire State building. The building is 354 m tall. If Melissa threw the penny down such that it left her hand at 35 m/s,
a. How fast will the coin be traveling when it hits the pavement?
b. How long will the coin be in the air?
18. An hour later, after the sidewalk damage was cleaned up, Paul dropped a coin off the top of the Empire State building.
a. How fast will the coin be traveling when it hits the pavement?
b. How long will the coin be in the air?
19. A methanol powered dragster travels a 1/4 mile from a stand still. The final speed of the best dragster will reach 300 mph.
a. Convert all units to standard SI units
b. Assuming the dragsters acceleration to be constant, what will it be?
c. How long will the dragster take to finish the 1/4 mile?
20. Phoebe threw a frisbee horizontally that traveled 125 m. The frisbee left her hand traveling 45 m/s. As the frisbee travels in the air it slows down with a de-acceleration of 5.6 m/s2.
a. How long was the frisbee in the air?
b. When Mike caught the frisbee, how fast was it traveling?
21. In order for Mike to catch the frisbee Phoebe threw, he had to run 45 m in 7.0 seconds. Mike began his sprint from a resting position.
a. What was Mikes average velocity?
b. Assuming Mike accelerated the whole time he was running, what was his acceleration?
c. What was his final speed if he accelerated the whole time?
22. A bullet it fired at Wonder Woman. The bullet leaves the guns muzzle at 1000 m/s. Wonder Woman is standing 8.4 meters in front of the bullet. The instant bullet is fired Wonder Woman begins to move her hand to block the bullet. Her hand starts from rest. She has to move her hand 1.25 meters to block the bullet.
a. When the bullet is in the air it will slow down at a rate 35.68 m/s2. How long did it take for the bullet to reach Wonder Woman?
b. How fast was the bullet traveling when Wonder Woman deflected it?
c. What was the average speed that Wonder Woman moved her hands to deflect the bullet?
d. What wad the final speed of Wonder Womans hand when she deflected the bullet?
e. What was the acceleration of her hand?
f. Wonder Woman stopped her hand in 0.3 m. What is the acceleration of her hand now?
23. A jet plane lands with a velocity of 100 m/s and can accelerate at a maximum of -9.0 m/s2 as it comes to rest.
(a) From the minute that the plane touches the runway, what is the minimum time needed before it can come to rest?
(b) Can this plane land on a small island airport where the runway is 0.80 km long? (Hint: Is the distance needed with this size acceleration greater than 0.80 km?)
24. A bullet is fired through a board 10.0 cm thick in such a way that the bullet's line of motion is perpendicular to the face of the board. If the initial speed of the bullet is 400 m/s and it emerges from the other side of the board with a speed of 300 m/s, find
(a) the acceleration of the bullet as it passes through the board, and
(b) the total time the bullet is in contact with the board.
25.While doing an experiment, Tom drops a ball out of a window 2.3 meters above the ground. The instant he does this he fires a starters pistol. Jerry sees the ball hit the ground at the instant he hears the pistols shot. The speed of pistols sound is 334 m/s -it is constant and will not change.
a. How long did it take for Toms ball to reach the ground?
b. How far away was Jerry standing?

26. A certain automobile manufacturer claims that its super-deluxe sports car will accelerate uniformly from rest to a speed of 87 mi/h in 8 s.
a. Determine the acceleration of the car in ft/s2 and mph/s
b. Find the distance the car travels in the first 8 s (in feet).
c. What is the velocity of the car 10 s after it begins its motion, assuming it continues to accelerate at the rate of 16 ft/s2?
27. Flossy Fletcher was curling her hair when she dropped the curling iron. The curling iron fell 1.651m to the floor.
a. How fast was the iron traveling when it hit the floor?
b. How long was it in the air?
28. An electron in a cathode ray tube of a TV set enters a region where it accelerates uniformly from a speed of (3 X 104) m/s to a speed of (5 X 106) m/s in a distance of 2 cm.
b. How long is this electron in this region where it accelerates?
c. What is the acceleration of the electron in this region?
29. A 400-m train is moving on a straight track with a speed of 82.4 km/hr. The engineer applies the brakes at a crossing, and later the last car passes the crossing with a speed of 16.4 km/hr. Assuming constant acceleration, how long did the train take to pass the crossing?
30. A driver in a car traveling at a speed of 60 km/hr sees a deer 100 m away on the road. What is the minimum constant acceleration that the car must undergo so as to avoid hitting the deer (assuming that the deer does not move)?
31. An F-15 jet fighter starts from rest and reaches a speed of 330 m/s in 2 seconds.
a. What is the planes acceleration?
b. How much distance did the jet cover in the 2 seconds?
c. How fast was the jet traveling after 1 second?
32. To calculate the depth of a well a physics student drops a rock into the well. 4.5 seconds after the rock is dropped the student sees it hit the bottom.
a. How deep is the well?
b. How fast is the rock traveling the instant before it hits the bottom?
33. A bicyclist traveled from 15.6 m/s to 21.1 m/s over a distance of 30 meters.
a. What is the acceleration of the bicyclist?
b. How much time does it take the bicyclist to travel the 30 meters?
34. While looking out of her office, Hillary Clinton notices a republican falling past her window at 15 m/s.
a. How fast is the republican traveling after falling 30 m past Hillarys window?
b. How long does it take to travel that 30 meters down?
c. The republican safely lands in some bushes an additional 15 meters farther down from the 30m.
* What was his speed the instant before he hit the bushes?
* How long did it take to travel the total 45 meters down from the window?
35. A sandbag dropped from a balloon ascending at 4.2 m/s lands on the ground 10.0 s later. What was the altitude of the balloon at the time the sandbag was dropped?
36. A parachutist descending at a speed of 10 m/s drops a camera from an altitude of 50 m.
(a) How long does it take the camera to reach the ground?
(b) What is the velocity of the camera just before it hits the ground?
37 While looking out a window you see a ball traveling upwards. Resulting from your fine tuned skills of observation you notice the ball is traveling 22.0 m/s upward. How much time will it take to travel up another 15.0 m?
38 While watching a baseball game, from behind the backstop on the second level, you observe a pop foul traveling straight up past you at 41 m/s. How much time will it take for the ball to travel up an additional 55.0 m?
In a car crash test, the sled used to test the effects of crashes on a cars occupants is called a buck. A buck weighs about 1500 pounds (688 kg). A typical impact speed is 30 mph (13.39 m/s). The test track that the buck slides down is 70 ft (21.21 m).

39. A buck starts from rest and travels up to 30 mph with an acceleration of 0.818 gs. How much time does this test run take?
40. A Mustang GT travels from rest to 55 mph (24.55 m/s) in 7.8 seconds. What is the acceleration of the Mustang in gs? (This will give some feel for the acceleration of the buck).
41. Car seats are designed not to come loose below a 20 g collision. If a car were traveling at 30 mph, how quickly would it have to stop if the seats were to just come loose?
42. What distance would a car have to come to a stop in if it were to undergo the 20 g collision described in the collision in question c?
43. If a car collides with a wall at 30 mph and bounces off at 8 mph in the opposite direction, what would be the impact time if the deceleration were 20 gs?
44. In a collision the car changes direction in 0.100 seconds. If a car were to collide with a wall in a 20 g collision with an impact velocity of 30 mph, then what would be the cars rebound speed off the wall?
45. In a collision the air bags deploy and collapses in 0.300 seconds. This is the time for the car to change direction. A car collides with a wall in a 20 g collision. If the cars rebound speed equaled its impact speed, what would be this speed?
46. A seat belt is designed to slow a passenger down with a 10 g deceleration. A typical collision lasts 0.300 seconds. 6 inches are between the passengers torso, and the steering wheel -this distance is called the rattle distance. At what speed can the car impact, with a final speed of zero, such that the belt is to just do its job and save the passengers life?
Other facts of interest:
Airplane seats are designed to withstand a 9 g horizontal deceleration before ripping out of the floor.
Car seats are designed to withstand a 20 g horizontal deceleration before ripping out of the floor.
The human body can withstand a 40 g horizontal deceleration before dying -due to compression and tearing of the internal organs. This number is less for older fragile people and higher for people of a more robust nature.
60 minutes did a piece in February 1992 that warned of car seats that collapse during a rear end collision. What they failed to mention was that the probability of injury sustained because of these seats versus non-collapsing seats is the same. Injury occurs with non-collapsing seats by rebounding the passenger into the dash
gs section
47 During a space shuttle launch an astronaut experiences an acceleration of 3.0 gs.
What is the acceleration of the astronaut in m/s2?
If the space shuttle started from rest, how far did it travel in 10 seconds?
48 A top fuel dragster experiences an acceleration of 5 gs during a drag race.
What is the acceleration of the drive in m/s2?
If a driver were to maintain this acceleration for 200.0 m, then how much time and how fast was the driver traveling at this point? The car started from rest.
49 On Jupiter a rock will fall to the ground with an acceleration of 26.94 m/s2.
What is the acceleration of the rock in Earth gs?
50 When a golf ball is hit off a tee, it will experience an acceleration of 1000 gs while the club makes contact with the ball. Typically the club will make contact for 0.00080 seconds.
What is the acceleration of the ball in m/s2?
How fast is the ball traveling when it leaves the club?
51 A jet is flying at 175 m/s when

it begins to accelerate at 3.50 gs. How much time will it take to travel 1.00 mile?
52 The space shuttle is traveling at 7650 m/s when it begins to accelerate at 0.100 g. How much time will it take to travel across the continental United States -a distance of 4.00 X 103 miles?
53 A car is at rest at a stop light. The moment the light turns green a truck rolls up the line with a CONSTANT velocity of 11.

6 m/s. At the instant the truck is next to the car; the car begins to accelerate as shown.
a How much time does it take for the car to catch up to the truck?
b How much distance is covered when the from the start line to when the car catches up to the truck?
c What is the velocity of the car when it catches up to the truck?

54 In the Savannahs of Africa a gazelle is running in a straight line with a constant velocity is 16.25 m/s. A cheetah is startled by the gazelle when she runs past. At the instant the cheetah and gazelle are side by side the cheetah accelerates after the gazelle from rest at 12.00 m/s2.
a How much time does it take for the cheetah to catch up to the gazelle?
b How much distance is covered when the from the start line to when the cheetah catches up to the gazelle?
c What is the velocity of the cheetah when it catches up to the gazelle?
55 Tom, the cat, is chasing Jerry, the mouse. Jerry runs past Tom at 10.00 m/s. At the instant Jerry passes Tom, Tom starts from rest and accelerates at 3.00 m/s2.
a How much time does it take for the Tom to catch up to Jerry?
b What is the velocity of the Tom when he catches up to the Jerry?
c The mouse hole is 2.1 meters away from Jerry when Tom began to chase Jerry. Will Jerry make it to the hole without being caught? (Support your answer with numbers.)
56 A Helicopter is hovering when a jet flies past it as shown. The instant the jet flies past the helicopter, it fires a rocket with the acceleration shown.
a The pilot of the jet will wait until the last possible moment to roll the jet from the incoming rocket. How much time does it take for the rocket to catch up to the jet?
b How much distance is covered from where the rocket is fired to where the rocket would catch up to the jet?
c What is the velocity of the rocket when it catches up to the jet?
57. A pedestrian is running at his maximum speed of 6.0 m/s to catch a bus stopped at a traffic light. When he is 15 m from the bus, the light changes and the bus accelerates uniformly at 1.00 m/s2. Does he make it to the bus? If so, how far does he have to run in order to catch it? If not, how close does he get?
58 A car starts from rest and accelerates at 0.500 gs from 50.0 m. the car then travels for 8.52 seconds at a constant velocity. It then slows down for 3.12 seconds with an acceleration of 2.50 m/s2.
a What is the final velocity of the car?
b What was the total distance traveled by the car?
c What was the cars final acceleration in gs?
59 A top fuel dragster accelerates from a rest with an acceleration of 5.10 gs. Once the dragster reaches its top velocity of 145 m/s, it travels at a constant velocity for the rest of the 1/4 miles track. How much time did it take for the dragster to travel the length of the track?
60 A bus picks up a passenger and accelerates from a rest at 1.50 m/s2 for 6.00 seconds. After the initial 6.0 seconds the bus accelerates at 2.50 m/s2 for an additional 35.5 m. The bus then slams on the brake and accelerates at - 0.75 gs until it comes to a rest.
a What is the total time for the bus ride?
b What is the total distance covered by the bus?
61. Suppose that while traveling at 12.0 m/s, a driver sees a traffic light turn red. After 0.510 s has elapsed (their reaction time), the driver applies the brakes and the car slows at -6.20 m/s2. What is the stopping distance of the car, as measured from the point where the driver first notices the red light?
62. A drag racer-starting from rest-speeds up for 402 m with an acceleration of + 17.0 m/s2. A parachute then opens, slowing the car down with an acceleration of - 6.10 m/s2. How fast is the racer moving 350 m after the parachute opens?
1 104.10 m
2 9.00 s
3 41.00 m/s
4 201.53 m
5 2.69 mi/(hrs)
6 26.19 m/s
7 91.2 m
8 241,126.5 mph & 347.2 mph
9 50.00 m/s
10
11
12 a
b
c
13 a 16.13 m/ s
b 95.4 m
c 69.98 m/s
14 a 29.4 m/ s
b 88.2 m/ s
c 176.4 m/ s
d 132.3 m
15 a
b 90.35 m/ s
c 5.64 s
16 a 83.30 m/ s
b 8.50 s
17 a 402,336 m
134,112 m/ s
b 22.352 m/ s
c 6 s
18 a 3.57 s
b 25 m/ s
19 a 6.42 m/ s
b 1.84 m/s
c 12.86 m/s
20
21 a 0.69 s
b 228.83 m
22
23 a 5.69 m/ s
b 058 s
24 a
b
25 10.3333 m/ hr
26 a 16.5 m/ s2
b 330 m
c 165 m/ s
27 a 99.225 m
b 44.10 m/s
28 a 3.36 m/s
b 1.63 s
29 a 28.51 m/ s
b
30 1.67 s
31 3.15 m/s & 0.32 gs
32 0.068 s
33 0.0459 m
34 0.087 s
35 -45.39 m/s
36 29.4 m/s
|