pg 3 next
This text is meant to accompany class discussions. It is not everything there is to know about energy. It is meant as a  prep for class. More detailed notes and examples are given in the class notes, presentations, and demonstrations linked below under unit resources.
Click here for questions that go along with this energy section.
Background: Waves

 

  • Wavelength: Measured from crest to crest or trough to trough or the points where the wave repeats the pattern. It could be anywhere on the curve. [Variable: λ, Measured in meters ]
  • Frequency: The quickly a vibration repeats itself in a second. [Variable: f, Measured in units of seconds-1. This has been given it own name of Hertz -abbreviated "Hz."]
  • Amplitude: This is the "height" of the wave. On this diagram it is all the blue vectors. The middle vector is the maximum amplitude. Unless otherwise specified, this is the the size of the amplitude when a question asks about a wave's amplitude. [Variable: A, Measured in meters ]

Waves travel at a certain speeds. The speed of sound through air is about 340 m/s at standard temperature and pressure conditions is about. All electromagnetic waves (including visible light waves,) travel at 3.00 x 108 m/s. (That is about 186,000 miles/second.) Electromagnetic waves travel nearly one million times than sound wave through air. THAT'S FAST!.

 

If you were to travel around the world in a commercial passenger jet and not refuel, it would take about 2 days to travel around the globe. Light can travel around the Earth about 7 1/2 times in 1 second.

The Moon is so far away that light reflected from the Sun takes about 1 second to reach the Earth.

Light from our Sun takes about 8.5 minutes to reach the Earth. This means that when you see where the Sun is in the sky, you are actually seeing where the Sun was 8.5 minutes ago.

 

The nearest star to the Earth can be seen in southern hemisphere. It is "Proxima Centauri," and is 4.3 light years away. If you are a senior in high school looking at this star today, you are seeing what it was doing when you were in 8th grade.

"Astronomy Picture of the Day," Credit: Y. Beletsky (LCO), ESOPale Red Dot https://apod.nasa.gov/apod/ap160825.html, accessed March 06, 2018.

Recently NASA discovered a planet, "K2-3d_650," larger than the Earth that is 150 light years away. But if you think about it. If there was an advanced society on this planet looking at the Earth TODAY, they would see the Earth about a decade after the U.S Civil War ended. These are some of the things they might notice in the United States 150 years ago, 1876.

They would see Mark Twain's Adventures of Tom Sawyer being published, 1876.

The invention of the phone (1876.) the 100th anniversary of the Declaration of Independence.

The invention of the telephone by Graham Bell, (Bell demonstrated the device to a skeptical public at the Philadelphia Centennial Exposition, where the Emperor of Brazil famously dropped the receiver in shock, exclaiming, "My God, it talks!") (1876)

The Remington No. 2 typewriter was showcased. It was the first typewriter to feature a "Shift" key, allowing for both upper and lowercase letters, making the machine practical for professional use. (1876)

Carpet Sweeper was invented by M. Bissel. It was the first mechanical floor cleaner for homes. The forerunner of the "vacuum cleaner." (1876)


Artist rendition of what the planet might look like.

Image Credit: Astronomy Now, https://astronomynow.com/2016/11/28/potentially-habitable-super-earth-k2-3d-observed-transiting-parent-star/ File: https://mk0astronomynow9oh6g.kinstacdn.com/wp-content/uploads/2016/11/artist_impression_K2-3d_960x720.jpg Accessed August-2018


"c" is the variable given to the speed of a wave.

c=λf

Where:
  • c is the speed of light, 3.00 x 108 m/s. It is always this speed, memorize this number.
  • λ is the wavelength in m.
  • f is the frequency in Hz.

The equation above is often referred to as, "the wave equation."

Example

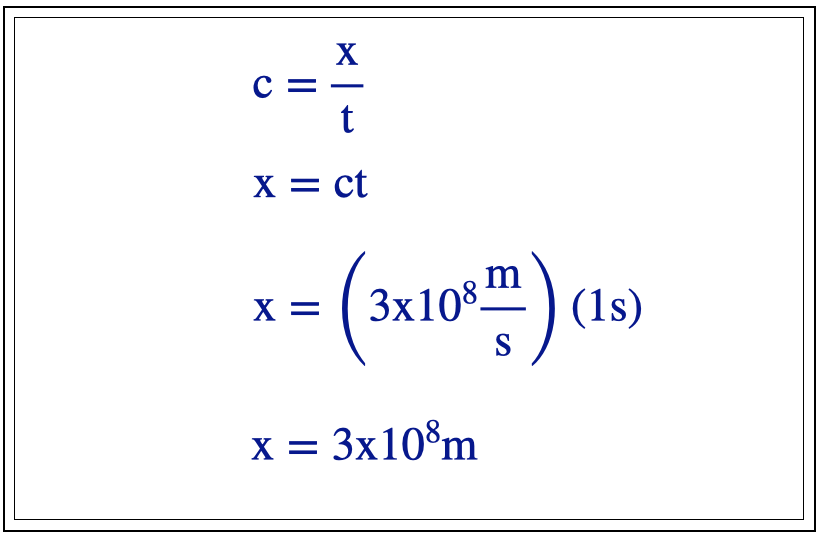
Using the speed of light in a vacuum, calculate the distance from the Earth to the moon in meters.

While the equation above is focused on electromagnetic waves it works for all waves and wave types. Replace "C" with the speed of the wave being discussed. Another important aspect of this equation is that it shows that frequency is inversely proportional to the wavelength. In other words, as the wavelength gets bigger, the frequency gets smaller.

This means that shorter wavelengths give higher frequencies.

 

Since the speed of light, "c," is a constant, frequency and wavelength are inverses. As one gets bigger the other gets smaller.

By Inductiveload, NASA - self-made, information by NASABased off of File:EM_Spectrum3-new.jpg by NASAThe butterfly icon is from the P icon set, P biology.svgThe humans are from the Pioneer plaque, Human.svgThe buildings are the Petronas towers and the Empire State Buildings, both from Skyscrapercompare.svg, CC BY-SA 3.0, https://commons.wikimedia.org/w/index.php?curid=2974242 Accessed on March 7, 2018

 

What you think of as "light" is so much more? It radio waves like bluetooth, wi-fi, cellphones, television signals, radio signals. It is x-rays, gamma rays, and cosmic rays. It is the rays we cook with like infra-red and microwaves. These are all "light" waves. ALL of these waves together make up what is call the Electromagnetic spectrum, "E and M" spectrum.

 

Wave Types
There are two types of waves. One of the ways waves are classified is by the motion of particles, or force directions due to fields, that make up the waves.


Longitudinal waves have a particle displacement that is in the direction of the wave's velocity. In the animation above the particles move horizontally and the wave also moves horizontally. These waves transmit energy and momentum as shown. Longitudinal waves must have a medium to propagate the waves. They need molecules to transmit energy. Sound is great example of a longitudinal wave. Sound travels at about 343 m/s in air at 20 degrees C. Humidity and temperature will affect the speed of sound. Sounds travels at 5,960 m/s in steel. That is about 17 times faster than in air. The molecules are more tightly packed in steel and the metals structure allows for a more efficient transmission of energy.

Transverse waves have a particle displacement that is perpendicular to the direction of the wave's velocity. (A 90 degree rotation is called "transverse.") In the animation above the particles move vertically and the wave also moves horizontally. These two motions are perpendicular to each other. These waves also transmit energy and momentum as shown above. Waves in the electromagnetic spectrum, like radio waves from a bluetooth device or visible light are transverse waves. Transverse waves and longitudinal waves can exist at the same them. An example of this is when you are in a car at night lightening to the radio. Light from outside comes into the car while you can hear the sound from the speakers in your car.

Transverse waves can do something longitudinal cannot do. Transverse waves can be polarized. Longitudinal waves cannot be polarized. This means light an any other waves in electromagnetic spectrum can be polarized. See below for an explanation of how polarization works.

 

What kind of wave do toppling dominoes exhibit?

 

Sound is a longitudinal wave. All longitudinal waves must travel through something. In other words they all need a medium of particles to carry the wave. Sound needs air, or a solid substance like a table top to carry the sound wave from one place to another.

Light is a transverse wave. Light carries its own medium with it. The interplay between the electric field and the magnetic fields do not need any addition substances.

Most waves need something to travel through because they rely on the motion of particles to carry the wave. 20 years after the end of the civil war, it was believed that light, electromagnetic waves, must also uses a medium to travel. This medium was called the "ether." If this is true then we are also moving through the ether. This means that the speed of light will vary depending on the direction you are pointing if you measure the time it takes for an electromagnetic wave to travel from location "a" to location "b." In 1887 Albert Michelson and Edward Morley conducted an experiment to test this theory. They got an unexpected result. Their experiment showed the speed of light to be the same in every direction. We now know that electromagnetic waves are made from the interaction between an electric field and a magnetic field. Because of this, electromagnetic waves do not travel through anything. This is why light from the Sun can travel through the vacuum of space while sound does not.

Click the image below.

Did you hear that? No? That's because you shouldn't hear anything in the vacuum of space. So often in science fiction television shows and movies you can hear the sounds of ships engines burning when the scene is shot from outer space. On the 2004-2009 television series BattleStar Galactica, the writers and directors got it right. During the scenes that are presented from the perspective of outer space, like the one above, no sound should be heard. Even when there are explosions on the ships. Remember this the next time you are a movie that takes place in outer space.

(Image source: http://www.battlestargalactica.us/community/application/widgets/illuminantgallery/externals/images/02.png from, www.battlestargalactica.com, accessed on April 7, 2017.)

Polarization of waves

 

Polarized waves are when the waves are parallel to each other. Only transverse waves can be polarized. Below is an image of the waves in electromagnetic radiation, light, they criss-cross each other and are on several planes.

The are several materials that can polarize transverse wave. Below is an image of a light ray when a polarized piece of plastic is used. Notice how the exiting wave is only oriented vertically.
Here is an additional way to polarize light. Bounce it off of a surface. The transverse wave will be parallel to the surface. Typically this is from puddles on the road, car windshields, and glass windows that are angled to a light source. After an electromagnetic wave leaves a polarizing filter, its magnitude is unchanged but it amplitude only moves in one plane.

"Polarized" sunglasses or "fishing glasses" have polarized plastic that blocks the polarized glare from the water. This allows wearers to see more clearly, under water because the wearer is not "blinded" by the glare from the water's surface.

White corn syrup and clear cellophane tape also have some interesting polarization properties.

 

Electromagnetic waves carry energy in their photons.

  • E is the energy of SINGLE photon. [ Measured in Joules, J ] The wave energy is associated with the energy of a single photon because of the duality nature of light.
  • h is Plank's constant. It is 6.626 x 10-34 J•s. You can always look it up when needed. Don't memorize this number.
  • f is the wave's frequency. [ Measured in Hz ]

 

Electromagnetic Spectrum

The electromagnetic spectrum consists of all the waves lengths of electromagnetic waves.

 

Visible light spectrum


Red, Orange, Yellow, Green, Blue, Indigo, Violet

The acronym that is typically used to remember the color order is - ROY-G-BIV.
Visible light ranges in wavelength from red at 750 nm to violet at 450 nm.

 

Red is the lowest frequency and therefore the lowest energy, Violet is the highest frequency, highest energy. But we only see a small part of the spectrum. Here is a larger view of the electromagnetic spectrum.
  • Radio waves include bluetooth devices, wi-fi, cellphones, cordless telephones, car key fob's, wireless headphones, and more.
  • Microwaves are used in satellite imaging, signaling, radar, cooking and more.
  • Infrared is given by many of our heat sources like fire, stoves, ovens, and us. A FLIR camera converts infrared electromagnetic waves to parts of the visible light spectrum. Many television remotes use infrared light to signal commands to the television.
  • The Ultraviolet spectrum parts used used by some insects to see flowers for food and cause your skin to burn.
  • X-rays are so energetic, they pass through you. You bones are dense enough to stop many of the x-rays.
  • Gamma rays are a very energetic type of x-rays.

 

Principle of Super Position
At any instant in time the amplitudes of two waves can be added. This is true for transverse and longitudinal waves. Below two waves, one red and one blue, are showing the principle of super position. The crest on the red square wave is 2 block high. the crest of the red wave is also 2 block high. The add up to give the purple colored wave with an amplitude of 4 blocks.
The two crests of the two waves shown below are not perfectly lined up. When the summed wave, in purple, has a constant amplitude of 2.
The waves below have crests and troughs that match up. When the red colored wave has an amplitude of +2 the blue colored wave has an amplitude of -2. These add up to zero. If these represented sound waves, you would not hear anything.
 
The examples above illustrate the principle of super position using square waves. But the principle of super position applies to any shaped wave. Like the sine waves shown below.

As you will see later, light demonstrates this principle when it passes through 2 very slender parallel slits.

 

Superposition allows fro a choir of singers to combine their voices when they sing together. Superposition allows for two colors of light to be combined to create a new color. It also means to possibilities can exist at the same time. This will be discussed later with Young's double slit experiment and quantum mechanics.

 

 

Index of Refraction
The slowest a photon has every traveled is 38 mph, 17 m/s. So the question is if the speed of light can only be 3.00 x 108 m/s then how can it be 17 m/s? (Answer on the next page.)

by Tony Wayne ...(If you are a teacher, please feel free to use these resources in your teaching.)

The owner of this website does not collect cookies when the site is visited. However, this site uses and or embeds Adobe, Apple, GoDaddy, Google, and YouTube products. These companies collect cookies when their producs are used on my pages. Click here to go to them to find out more about how they use their cookies. If you do not agree with any of their policies then leave this site now.